| 正弦波交流を複素数で表す細工 |
正弦波交流という電気的振動現象は、sinまたはcosという三角関数で表される信号を交流電源から供給することによって、起こされる。
回路を解析することは回路方程式を解くことであり、交流の回路方程式はインダクタやキャパシタがあると微分積分方程式となる。
したがって、交流回路の解析は三角関数を含んだ微分積分方程式を解くことである。
ここで前出のオイラーの公式(4.1)を思い出し、θをωtとおくと
e^(iωt)=cosωt + i・sinωt
ただし、虚数単位が i のままだと電流の記号 i と混同する恐れがあるので、電気工学では虚数単位を j として扱う。したがって
e^(jωt) = cosωt + j・sinωt ------ (4.3)
また、指数関数の微積分は
指数関数の微分 de^(ax)/dx=ae^(ax)
指数関数の積分 ∫e^(ax)dx=1/a・e^(ax)
となり、sinやcosを微積分するよりも指数関数を微積分したほうが簡単であることがわかる。
そこで、sinやcosで示される交流電圧電流を複素数であらわし、それを指数関数に置き換えるという細工が考えられた。
現実の回路内に複素数の電圧や電流が存在する訳ではないが、数学的に計算を簡単化できるという理由で、複素数まで拡張して考える。
ただし、この方法が採れるのは電気回路が線形であるという条件が成り立っているときである。回路方程式が線形微分方程式であるときにのみ複素数を使うことができる。
線形ということは、回路方程式の電圧や電流が1次または0次であるということである。
そして、最終的に計算の結果を複素数から実数に戻すときには、最初に実部のcosを置き換えたか虚部のsinを置き換えたかを間違わない注意が必要である。
自然界で観測される物理現象には、一定の条件下では多くの場合比例関係が見られるという。何かが振動するという現象でも、加えられた力と振動の振幅には比例関係がある。
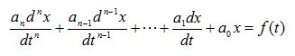
バネに付けられたおもりの振動、電気回路内の電荷の振動、音叉の振動など、これらはすべて数式で表すと次のような線形微分方程式で表される。

これはn階の定数係数線形微分方程式(aiは定数)と呼ばれる。
以上の本項の内容は、電気回路についてだったが、この定数係数線形微分方程式が成り立つ物理現象であれば、同じようにこの方法を解析に用いることができる。
このテクニックは、複素記号法と呼ばれており、微分方程式を代数方程式として解くことができる便利な方法である。電気回路における具体的な方法について以降に順を追って記載する。
|
| フェーザ表示とは |
前出の(4.3)式の両辺をA倍すると
Ae^(jωt+jθ) = A{cos(ωt+θ) + j・sin(ωt+θ)}
この左辺を分解すると
Ae^(jωt+jθ) = Ae^(jθ)・e^(jωt)
この式の右辺において、前の部分のAe^(jθ)は極座標形式で絶対値の大きさAと角度または初期位相θを表し、後ろの部分のe^(jωt)は大きさ1で時間の関数を表している。
時間の関数部分は、角周波数ωが一定の正弦波関数である。極座標形式で特徴的な絶対値および初期位相の部分と、時間の関数部分は、計算の過程においては区別して考えて計算の簡略化を図っても差し支えない。
『 時間の項を除いて位相のみとした複素数領域の極座標表示 』
をフェーザ(phasor,phase vector,位相ベクトル)表示と呼ぶ。上記の論法に従い、これを記号化して計算に使用する。
上記の場合ならば、フェーザ表示を S=Ae^(jθ)などと略記する。
正弦波交流ならば、実効値を基準としてフェーザ表示を以下のように略記する。
V=Ve・e^(jθ) (Veは実効値電圧など)
I =Ie・e^(jθ) (Ieは実効値電流など)
VやI はフェーザ表示であることを忘れないように、太字にしたり、上に「・」ドットや「^」をつけて区別する。 |
| フェーザを使ってみる(RLC直列回路を複素数で解く) |
交流電圧源 v=Vm・sin(ωt) のとき
交流電圧と電流を複素数まで拡張して考え、オイラーの公式により指数関数に変換するという前項の細工を使ってフェーザで表すと、以下のようになる。
v(t) → √2Ve・e^(jωt) = √2V e^(jωt) ------ (4.4)
i(t) → √2Ie・e^j(ωt+θ) = √2Ie・e^(jωt)・e^(jθ) = √2I e^(jωt) ------ (4.5)
ただし、θは予想される位相のズレを示している。Veは電圧実効値を、Ieは電流実効値を、Vは時間を含まない複素電圧Ve・e^(j0°)を、I は時間を含まない複素電流のIe・e^(jθ)を示している。
さらに微分・積分は
di/dt→jω√2I e^(jωt) ------ (4.6)
∫idt→1/(jω)・√2I e^(jωt) ------ (4.7)
式(4.4)〜(4.7)を与式(4.8) に代入して、
v(t) = R・i + Ldi/dt + 1/C・∫idt ------ (4.8)
√2V e^(jωt)=R・√2I e^(jωt)+jωL√2I e^(jωt)+1/(jωC)√2I e^(jωt)
両辺を√2e^(jωt)で割り、時間関数部分を省略すると
V=RI +jωLI +1/(jωC)I
電流について整理すると、
I =V/{R+jωL+1/(jωC)} =V/{R+j(ωL-1/(ωC))}
=V/[{√(R^2+(ωL-1/ωC)^2}・e^jθ] (極座標表示から)
=(Ve・e^(-jθ))/{√(R^2+(ωL-1/ωC)^2}
ただし、θ=tan-1{(ωL-1/ωC)/R}
フェーザで表していた部分を時間の式に戻すと(最初の条件からsinにする)
i(t) =1/{√(R^2+(ωL-1/ωC)^2)}×(Vm・sin(ωt-θ))
|
| 複素インピーダンスと複素アドミッタンス |
前項では、i→√2Ie・e^j(ωt+θ)などと変換をしてから、与式の両辺を√2e^(jωt)で割るという操作を行ったが、実用上は簡便化のために直接次のような変換をする。
v →V, i →I
ただし、V と I はフェーザ電圧と電流を示す。
また、前述のようにフェーザは時間の成分がないので、時間についての微積分に対しては定数として取り扱える。電流を例とすると以下が成り立つ。
di/dt = jω√2I e^(jωt)
∫idt = 1/(jω)・√2I e^(jωt)
√2e^(jωt)の項は、一括して消去できるので、フェーザを使った場合にインダクタLとキャパシタCの項は次のような変換ができる。
Ldi/dt → jωLI
1/C∫idt → 1/(jωC)・I
以上により、角周波数ωの交流でフェーザ電圧V、フェーザ電流I を使った場合、R,L,Cの電圧電流の関係は次のようになる。
V = R I
V = jωLI
V = 1/(jωC)・I
これより、正弦波交流回路においてフェーザの考え方を取り入れると、インダクタンスLはjωL、キャパシタンスCは1/(jωC)を抵抗と同じようにみなして、オームの法則を当てはめられることがわかる。
この場合の抵抗に相当する電圧と電流の複素比V/I を複素インピーダンスまたは単にインピーダンスと呼ぶ。インピーダンスの変数記号としてはZを用いる。単位は電圧と電流の比なので抵抗と同じΩ(オーム)を用いる。
V = ZI Z = V/I
また、電流と電圧の複素比 I/Vを複素アドミッタンスまたは単にアドミッタンスと呼ぶ。変数記号としてはYを、単位はS(ジーメンス)を用いる。素子を並列接続したときに使用すると便利である。
Y = I/V = 1/Z
複数のR,L,C素子が複雑に直列並列接続されている場合、各素子のインピーダンスを合成抵抗を求めるときと同じ方法で合成することができる。
これはフェーザから導かれたインピーダンスには時間によって変動する項が含まれていないからである。正弦波という時間領域から離れて、ωという周波数領域の計算となっていて、しかもωは一定と規定しているからである。
合成された複素インピーダンスは、最終的に実部と虚部に分けられ次の形になる。
Z = R + jX
Xの部分は、リアクタンスと呼ばれる。X>0ならば誘導性リアクタンス、X<0ならば容量性リアクタンスとも呼ばれる。
同様に、アドミッタンスは
Y = G + jB
と表される。Gはコンダクタンス、Bはサセプタンスと呼ばれ、単位はS(ジーメンス)が用いられる。 |
まとめ:複素記号法の使い方
正弦波交流のフェーザ表示による簡略計算法 |
○電圧電流のフェーザ表示への変換
|
瞬時値
|
|
フェーザ表示
|
フェーザ表示の意味
|
|
v(t)=Vm・sin(ωt+θ)
|
→
|
V
|
=Ve・e^(jθ) (Veは実効値電圧)
|
|
i(t)=Im・sin(ωt+θ)
|
→
|
I
|
= Ie・e^(jθ) (Ie は実効値電流)
|
○複素インピーダンス・複素アドミッタンスへの変換
|
素子の種類
|
|
インピーダンス[Ω]
|
アドミッタンス[S]
|
|
抵抗R
|
→
|
R
|
1/R=G
|
|
インダクタL
|
→
|
jωL
|
1/jωL
|
|
キャパシタC
|
→
|
1/jωC
|
jωC
|
●上記2項の変換を行うことにより、正弦波交流回路でも直流回路と同じように「オームの法則」が成立する。オームの法則を使って、受動素子が複雑に直並列接続されている正弦波交流回路の合成インピーダンスや合成アドミッタンスを、代数方程式として求めることができる。
|
○計算後の複素数表示から瞬時値表示への戻し方
Z = R + jX = |Z|e^(jθ) = |Z|∠θ= √(R^2+X^2)e^(jθ) (θ=tan-1(X/R))
と計算結果が出たとすると、
電流は I = V/Z より I = Ix・e^(jθx) = Ix∠θx などと変形できた場合は、
回路全体の合計電流が以下の式で求められる。
i(t) = √2Ix・sin(ωt+θx)
電圧は、V = I Zより V = Vx・e^(jθx) = Vx∠θx などと変形できた場合は、
インピーダンスZの両端電圧が以下の式で求められる。
v(t) = √2Vx・sin(ωt+θx)
|
ただし、電源がsin波形で駆動した場合、cos波形ならばcosとなる。
また、√2はフェーザを実効値で取り扱った場合に振幅値にするため。
|
|
SPICEによる確認: RLC直列回路
|
| SPICE回路図ファイル |
RLC_series.zip (TopSPICE回路図ファイル+解析設定ファイル) |
.jpg) クリックで拡大
|
| 回路図の作成 |
上側の回路図は、電圧源V1とR,L,Cを直列に接続したものです。電圧源からは、0Vを中心に振幅1V、周波数1kHzの正弦波が入力されています。SPICEの文法では、電圧の単位V、電流の単位A、インダクタンスの単位H、キャパシタンスの単位Fなどは省略可能です。ここでは抵抗以外は入れてあります。逆にm(ミリ)やu(マイクロ)などのスケール・ファクタ以降の文字は無視されます。
下側の回路図は、複素記号法で上側の回路図を流れる電流を求めた結果をもとに作成しています。
計算結果は、i(t)=1.506×10^-3sin(ωt-44.95°) となったので、これを電流源 I1 のパラメータとします。これに抵抗負荷470Ωを接続します。流れる電流波形が上側の回路のものと一致すれば、計算が合っていることになります。
|
解析の設定と実行
(過渡解析)
|
通常は、交流電源の周波数を1kHzとしているので、3周期くらいの波形を表示するために、解析の終了時間を1周期の3倍の3msとします。しかし、SPICEの過渡解析は、初期条件を特に設定しなければ、時間0sでは初期電圧0V、初期電流0Aから開始します。0sからの波形は定常状態になるまでの過渡状態を示します。簡単に初期条件は求まらないので、ほぼ定常状態になったと思われる時間以降の波形のみプロットします。ここでは7ms〜10msの波形のみプロットしています。また、ある程度の精度を得るため、SPICE計算の間隔であるステップ時間を、最大10usとしています。
観測する箇所は、交流電源の信号電圧V(1),各受動素子両端電圧VR,VL,VCおよび負荷抵抗R1を流れる電流I(R1)と負荷抵抗R2を流れる電流I(R2)です。VR(抵抗部の電圧),VL(インダクタ部の電圧),VC(キャパシタ部の電圧)は分かりやすいようにユーザー側が任意に設定した変数です。(これはTopSPICEの仕様なので他のSPICEでは別です。)
|
| 解析結果からわかること |
3段目のグラフから、SPICEが計算した結果であるI(R1)と、人間が計算した結果であるI(R2)が一致していることが分かります。
この回路で定数だと、流れる電流は電圧より約45°位相が遅れています。流れる電流の位相を基準に、電圧電流の位相を比較すると、抵抗では当然ながら電圧電流の位相は一致しています。インダクタでは電圧が電流よりも90°進んでいて、キャパシタでは電流の方が電圧よりも90°進んでいることが分かります。
各波形のレベルは、素子の定数値で決まってきます。 |
SPICEによる確認: RLC並列回路
|
| SPICE回路図ファイル |
RLC_parallel.zip (TopSPICE回路図ファイル+解析設定ファイル) |
.jpg) クリックで拡大
|
| 回路図の作成 |
上側はRLCの並列回路ですが、前出の理想電圧源と理想インダクタの直接接続問題を避けるため、インダクタに直列に微少抵抗値を接続しています。
下側の回路図は、前項と同様に、複素記号法で上側の回路図を流れる電流を求めた結果をもとに作成しています。
計算結果は、i(t)=5.1515×10^-3cos(ωt+65.60°)=5.1515×10^-3sin(ωt+155.60°) となったので、これを電流源
I1 のパラメータとします。これに抵抗負荷470Ωを接続します。流れる電流波形が上側の回路のものと一致すれば、計算が合っていることになります。
|
解析の設定と実行
(過渡解析)
|
電圧源の初期位相を90°進める、つまりcos波形とすると、うまくインダクタ電流とキャパシタ電流が0Aから始まるようなので、そのような設定としています。インダクタの初期電流0Aの設定(IC=0)も必要です。最初は、カット&トライが必要です。
出力変数で、I_sumはユーザー定義の変数で、電圧源V1を流れる電流を示しています。ただし、電流が正の向きは電源の+端子から-端子へ電源内を流れる向きなので、変数設定でその逆向きを正としています。これは、電流計(電圧0Vの電圧源:TopSPICEならばシンボルVA)を挿入してもかまいません。
(些細かつTopSPICEだけに関する点ですが、2段目のグラフと3段目の縦軸メモリを同一とするため、プロット設定でYAXIS=(-7.5m,7.5m,2.5m)としています。)
|
| 解析結果からわかること |
3段目のグラフから、SPICEが計算した結果であるI_sumと、人間が計算した結果であるI(R2)が一致していることが分かります。
1段目と2段目のグラフの比較から、抵抗では電圧電流の位相は一致、インダクタでは電圧が電流よりも90°進んでいて、キャパシタでは電流の方が電圧よりも90°進んでいることが分かります。各時間ごとに値を加えたものがI_sum=I(R1)+I(L1)+I(C1)のグラフになってレベルや位相を決めていることを、グラフで見比べると、より回路動作の理解が深まります。
|